Specialising in custom-designed, precision scientific instruments, built, programmed and calibrated to the most exacting standards. The range includes precision dataloging barographs, with built-in statistical analysis, Barographic Transient Event Recorders and computer-interfaced detectors and sensors for environmental monitoring & process control.
A site dedicated to scientific techniques, experimental methods, & investigative tools for the inventor, researcher and laboratory pioneer. Articles on glassblowing, electronics, metalcasting, magnetic measurements with new material added continually. Check it out! www.drkfs.net
click on any item in the list for its wikipedia entry if available.
Consider the magnetic properties of an atomic nucleus. The nucleus of an atom spins and as a consequence, if the charge is not symmetrically placed on the nucleus, the spinning charge will constitute a circular current and will produce an associated magnetic field similar to a small bar magnet. Not all nuclei possess an asymmetric charge but among those that do are the hydrogen and the 13C nuclei, which are the nuclei of major importance for NMR spectroscopy. However, most elements or one of their isotopes have their charge asymmetrically placed and, thus, exhibit magnetic properties.
If the spinning nucleus is placed in a strong external magnetic field, the nucleus can adopt a small number of possible orientations. The hydrogen nucleus is permitted just two orientations, which can be in the direction of the magnetic field or opposite to the direction of the field. This situation is depicted in figure 1.

Now if the nucleus is exposed to radiation of frequency (ν) and this causes the nucleus to ‘flip’ (see figure 1) then the energy involved (ΔE) will be given by.
ΔE = hν (1)
where (h) is Plank’s Constant
This is the basis of Magnetic Resonance Spectrometry
When a hydrogen nucleus is placed in a magnetic field the external field will act upon the spinning nucleus to try to change its spinning axis to be in line with the magnetic field.
Now when a force acts upon a spinning body to change its axis of rotation then, to conserve the angular momentum, the spinning body will precess.
The Precessing nucleus is depicted diagramatically in Figure 2.

From quantum rules, the Precessing nucleus has only two possible orientations. Consequently, if energy is supplied to the spinning nucleus, employing electromagnetic radiation of the necessary frequency, energy will be absorbed and the Precessing nucleus will be displaced from one orientation to the other.
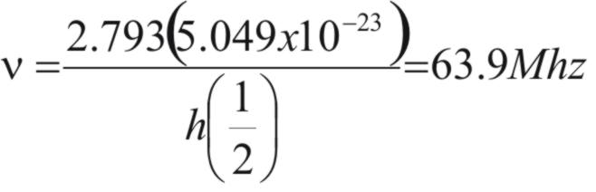
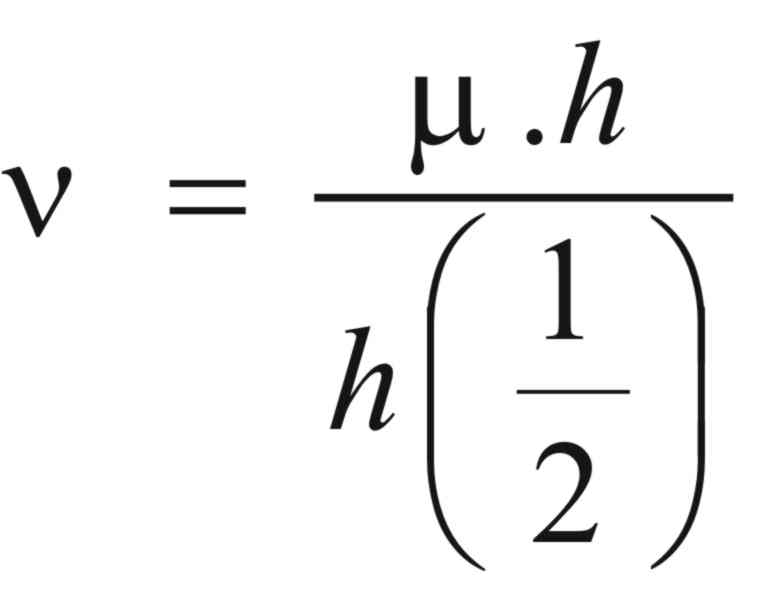
The magnetic quantum number for the proton is ± 1/2 and consequently, the frequency (ν) at which this transition can occur can be calculated from the equation:
(2)
|
where (μ) |
is the nuclear magnet moment, |
|
(H) |
is the external magnetic field strength, |
|
and (h) |
is planks constant |
Now the nuclear magnet moment for the proton is 2.793 Bohr magnetrons (1 magnetron = 5.093 x 10-24 erg/gauss) and thus, if it is situated in a field of 15,000 Gauss, the frequency required to make the transition is given by,
Employing the same equation and taking a range of transition frequencies, the different field strengths can be calculated for different frequencies and different nuclei. The results of such calculations are shown in Table 1.
Table 1. NMR Field Strengths
and Frequencies for Some Different Nuclei
|
Nucleus |
20 MHz |
60 MHz |
100 MHz |
250 MHz |
750 MHz |
|
1H |
4,700 |
14,000 |
23,500 |
58,750 |
176,250 |
|
2H |
30,600 |
91,800 |
153,000 |
382,500 |
1,147,500 |
|
13C |
18,700 |
56,00 |
93,400 |
233,750 |
701,250 |
|
14N |
65,000 |
195,000 |
325,000 |
812,500 |
2,437,500 |
Consider a sample containing different protons, is situated in a strong magnetic field and irradiated at the transition frequency. Assume the sample is then scanned by a second, low intensity magnetic field, When the transition of a proton actually occurs, energy will be absorbed and that energy can be electronically detected.

The Spectrum obtained for alcohol is shown in figure 4. The device has been examined on a low-resolution spectrometer. The sample has been irradiated with electromagnetic waves of the calculated frequency and the intensity of the magnetic field was then scanned over a narrow range close to that where the absorption of energy was expected to take place. The energy of absorption, which is sensed electronically, is shown plotted against field strength to provide the NMR Spectrum. There are several points of interest arising from the resulting simple Spectrum shown in figure 3. First, it can be shown that the three peaks have areas in the proportions of 1:2:3 which would indicate that they arise from the proton associated with the oxygen atom, the methylene protons and the methyl protons.
Thus, the spectrum discloses the relative number of protons associated with each peak from the relative peak areas.
Second, the proton peaks appear at different values of the scanned magnetic field. This is because, due to their specific environment, they experience shielding from the electron clouds from neighbouring atoms. As a consequence, although all the protons absorb energy at the same frequency (because the frequency in this experiment is fixed) the applied field must be different for each type of proton, to compensate for their dissimilar magnetic environments.
Now,
|
where (H) |
is the net magnetic field experienced by the proton, |
|
(HF) |
is the high intensity applied magnetic field, |
|
(HS) |
is the small applied scanning magnetic field, |
|
and (HC) |
is the shielding field provided by the atomic environment of the proton |
and HC = α(HF+HS) (3)
Where (α) is the shielding effect of the electron environment of the proton.
Thus, H = HF+HS -α(HF+HS)
or, H= (HF+HS)(1-α) (4)
In fact it is the chemical environment of the proton that will affect the diamagnetic shielding constant (α). Consequently, the relative positions of the absorption peaks, called the ‘chemical shift’ will be determined by the magnitude of (α) and will disclose the nature of the chemical environment and contribute information with regard to the overall structure of the molecule.
Thus, the position of the peaks, the chemical shift, discloses the nature of the chemical environment of the proton and consequently, contributes to the elucidation of the chemical structure.
If the resolution of the NMR machine is increased (which, in practice, will mean that the widths of the peaks are reduced relative to their movement apart, viz. chemical shift) then the proton peaks will show a well-defined and predictable fine structure. An example of the Spectrum of ethyl alcohol that would be obtained on a NMR spectrometer having greater resolution is shown in figure 4

The Spectrum shows that the magnetic field affecting the environment of a given proton is also influenced by protons on the adjacent carbon atoms. For example, the methylene protons can contribute magnetic influence at three different levels to the field experienced by the methyl protons. The magnetic fields due to the each methylene proton can act in opposite directions or both in one direction or the other. Thus, as there are three different contributions, the methyl protons will display three peaks. Furthermore, as the probability of both protons acting in the same direction is half that of them acting in opposition, the centre peak will be twice the height of the side peaks.
In a similar way, the three protons of the methyl group can contribute fields at four different levels to the methylene protons. There are two possibilities for them all to act in one direction and two possibilities where two are acting in one direction and the other in opposition. Thus the methylene protons will display four peaks. As the probability of the two protons acting in one direction and the other in opposition is twice as great as all the protons acting in one direction or the other, the two centre peaks will be twice the height of the outside peaks.
As already stated the position of the peaks (the chemical shift) indicates the chemical nature of the neighbouring groups. The fine structure of the proton peaks provides information on the degree of the proton saturation of the neighbouring atoms. In addition, the area of the peaks provides quantitative information on the distribution of the protons throughout the molecule. Even with this brief and somewhat superficial treatment of NMR spectroscopy, the value of the technique to the analyst for substance identification and for structure elucidation becomes quite obvious.
For those requiring more information on NMR, the books by P.J. Hore (1) and Paudler (2) are strongly recommended.
About the Author
RAYMOND PETER WILLIAM SCOTT was born on June 20 1924 in Erith, Kent, UK. He studied at the
University of London, obtaining his B.Sc. degree in 1946 and his D.Sc. degree in 1960.
After spending more than a decade at Benzole Producers, Ltd. Where he became head of
the Physical Chemistry Laboratory, he moved to Unilever Research Laboratories as
Manager of their Physical Chemistry department. In 1969 he became Director of Physical
Chemistry at Hoffmann-La Roche, Nutley, NJ, U.S.A. and subsequently accepted the position
of Director of the Applied Research Department at the Perkin-Elmer Corporation, Norwalk, CT, U.S.A.
In 1986 he became an independent consultant and was appointed Visiting Professor at Georgetown
University, Washington, DC, U.S.A. and at Berkbeck College of the University of London; in 1986
he retired but continues to write technical books dealing with various aspects of physical chemistry
and physical chemical techniques. Dr. Scott has authored or co-authored over 200 peer reviewed
scientific papers and authored, co-authored or edited over thirty books on various aspects of
physical and analytical chemistry. Dr. Scott was a founding member of the British chromatography
Society and received the American Chemical society Award in chromatography (1977), the
M. S. Tswett chromatography Medal (1978), the Tswett chromatography Medal U.S.S.R., (1979),
the A. J. P. Martin chromatography Award (1982) and the Royal Society of Chemistry Award in
Analysis and Instrumentation (1988).
Dr. Scott’s activities in gas chromatography started at the inception of the technique,
inventing the Heat of Combustion Detector (the precursor of the Flame Ionization Detector),
pioneered work on high sensitivity detectors, high efficiency columns and presented fundamental
treatments of the relationship between the theory and practice of the technique.
He established the viability of the moving bed continuous preparative gas chromatography,
examined both theoretically and experimentally those factors that controlled dispersion
in packed beds and helped establish the gas chromatograph as a process monitoring instrument.
Dr. Scott took and active part in the renaissance of liquid chromatography,
was involved in the development of high performance liquid chromatography and invented
the wire transport detector. He invented the liquid chromatography mass spectrometry
transport interface, introduced micro-bore liquid chromatography columns and used them
to provide columns of 750,000 theoretical plates and liquid chromatography separations
in less than a second.
Dr. Scott has always been a “hands-on” scientist with a remarkable record of accomplishments in chromatography ranging from hardware design to the development of fundamental theory. He has never shied away from questioning “conventional wisdom” and his original approach to problems has often produced significant breakthroughs.